活性染料结构通式:S-D-B-R
S:水溶性基团,如-SO3Na;
D:染料母体,决定染料的颜色、鲜艳度、牢度及直接性;
B:连接基,一般为-NH-;
R:活性基团,决定染料的反应性、固色率、耐水解稳定性、贮存稳定性等性能。
活性染料应同时具有一定的活泼性和稳定性。活性基团结构还与染料的溶解度、直接性及扩散性等性能有关。
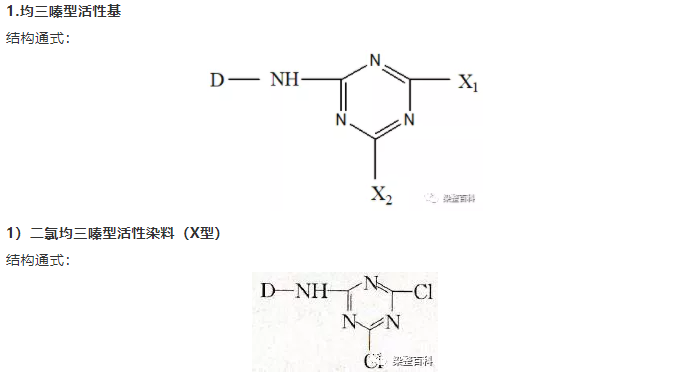
A、含活泼卤素原子的氮杂环活性基
活性染料的反应性与活性基中C原子的正电性有关, C原子的正电性越强,活性基的反应性越强。













这类蓝色染料具有金属络合染料的深色谱和染色牢度好的优点,而且色泽鲜艳。
其他染料母体:
吡啶酮类、双氧氮蒽类、二氮蒽类、三芳甲烷类等。其中吡啶酮类、双氧氮蒽类染料的摩尔消光系数高,色泽鲜艳,染色性能和染色牢度较好。
采用双氧氮蒽类活性染料,可替代价格高的蒽醌类染料。
来源:染整百科


1.本着“开放、协作、分享”的互联网精神,我们欢迎各方自媒体、传统媒体与机构,转载、引用染化在线的原创内容,但必须注明来源自染化在线网,否则我们将依法追究侵权责任。
2.原则上,我们同意在注明出处的前提下,各方使用染化在线的原创素材(图片、视频等)。
3.染化在线网尊重各方知识产权,保护原创作者的合法权益。如发现本站文章存在版权问题,请联系微信rhzxzjf,我们将及时核查、处理。